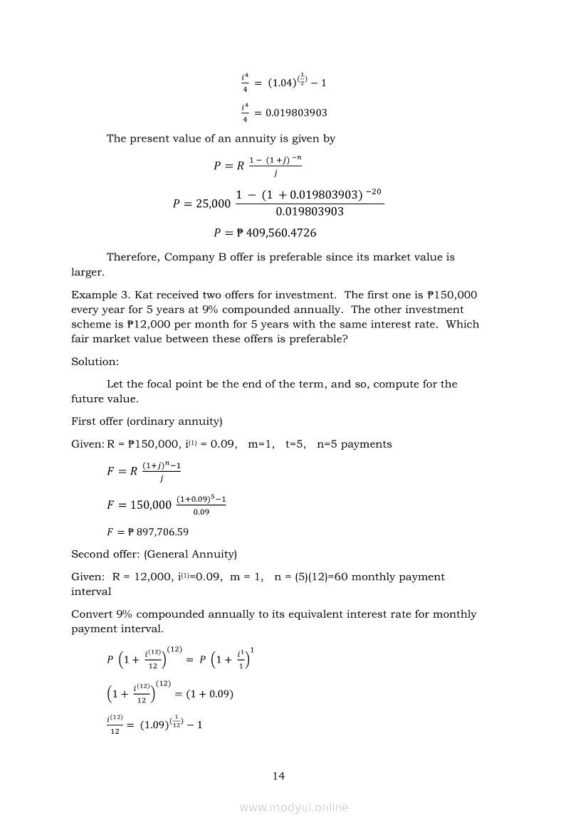
General Mathematics Quarter 2 – Module 6: Fair Market Value of a Cash FlowApr 22, 2021 SHSGrab your copy of Collegio Advance - ULTIMATE Updated College Entrance Exam Reviewer and pass with flying colors 🎉. General MathematicsRelatedGeneral Mathematics Module 10: Solving Real-Life Problems Involving Rational Functions, Equations, and InequalitiesGeneral Mathematics Quarter 2 – Module 2: Interest, Maturity, Future, and Present Values in Simple and Compound InterestsGeneral Mathematics Quarter 2 – Module 19: Validity of Categorical SyllogismsGeneral Mathematics Quarter 2 – Module 10: Market Indices for Stocks and BondsGeneral Mathematics Quarter 2 – Module 15: Logical Operators