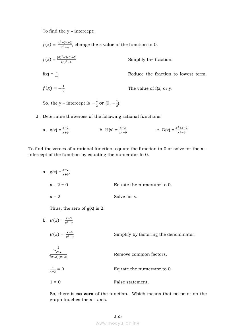
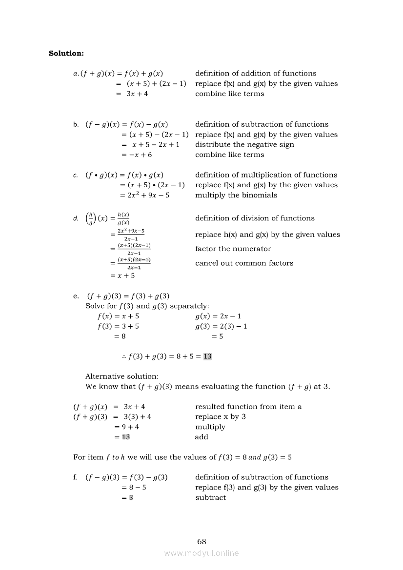
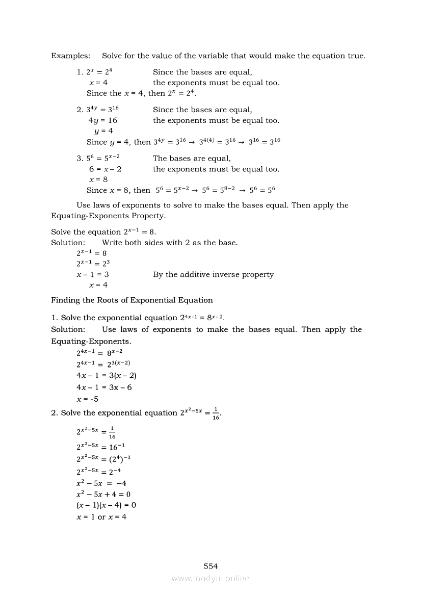
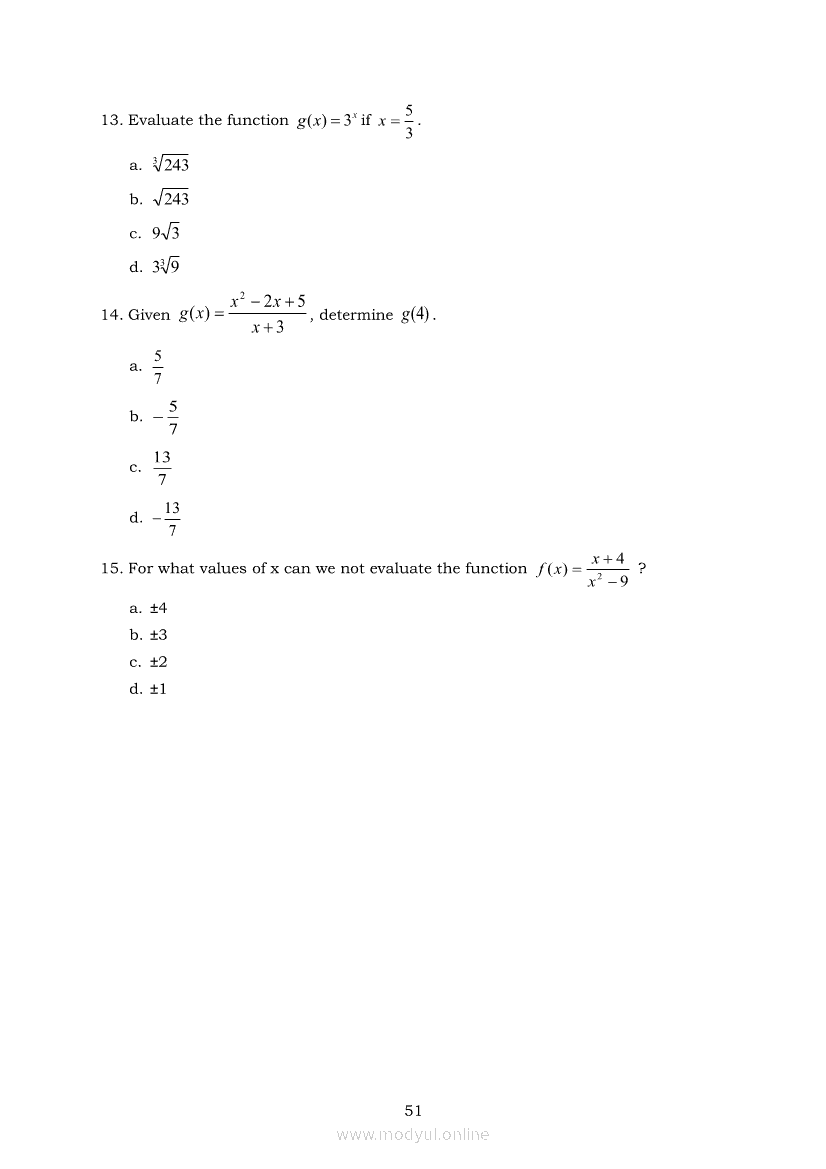
General Mathematics PIVOT Module in General MathematicsApr 22, 2021 SHSGrab your copy of Collegio Advance - ULTIMATE Updated College Entrance Exam Reviewer and pass with flying colors 🎉. General MathematicsRelatedGeneral Mathematics Module 12: The Inverse of One-to-one FunctionsGeneral Mathematics Quarter 2 – Module 18: Tautologies and FallaciesGeneral Mathematics Module 8: The Domain and Range of a Rational FunctionsGeneral Mathematics Module 26: Domain and Range of Logarithmic FunctionsGeneral Mathematics Module 7: Representations of Rational Functions