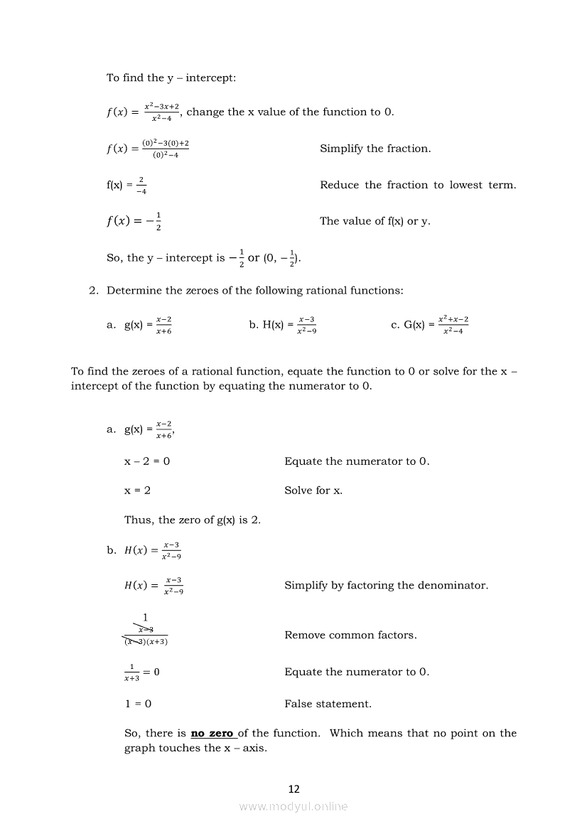
General Mathematics Module 10: Solving Real-Life Problems Involving Rational Functions, Equations, and InequalitiesApr 22, 2021 SHSGrab your copy of Collegio Advance - ULTIMATE Updated College Entrance Exam Reviewer and pass with flying colors 🎉. General MathematicsRelatedGeneral Mathematics Quarter 2 – Module 4: Simple and General AnnuitiesGeneral Mathematics Quarter 2 – Module 20: Valid Arguments and FallaciesGeneral Mathematics Quarter 2 – Module 9: Different Markets for Stocks and BondsGeneral Mathematics Module 18: Solving Exponential Equations and InequalitiesGeneral Mathematics Module 4: Solving Real- Life Problems Involving Functions